ГОСТ 12643-80 Заклепки полупустотелые с потайной головкой. Технические условия

Категории ГОСТ 12643-80 по ОКС:
Статус документа:
действует, введён в действие 01.01.1982
Название на английском языке:
Semi-hollow countersunk-(flat)-head rivets. Specications
Дата актуализации информации по стандарту:
05.08.2025, в 15:45 (менее полугода назад)
Вид стандарта:
Стандарты на продукцию (услуги)
Дата начала действия ГОСТа:
1982-01-01
Дата последнего издания документа:
2004-09-01
Коды документа ГОСТ 12643-80:
Код ОКП:
168000
Код КГС:
Г34
Код ОКСТУ:
1285
Число страниц:
8
Назначение ГОСТ 12643-80:
Настоящий стандарт распространяется на полупустотелые заклепки с потайной головкой с диаметром стержня от 1 до 10 мм. Заклепки полупустотелые с потайной головкой должны удовлетворять всем требованиям ГОСТ 12644-80 и требованиям, изложенным в соответствующих разделах настоящего стандарта
ГРНТИ индекс(ы):
550329;671561

Скачать ГОСТ 12643-80 вы можете в следующих версиях:

Тип файла:
Дата добавления:
Загрузок:
Размер:
Тип файла:
PDF с изображениями
Добавлен:
12/12/2011 01:57
Скачиваний:
399
Размер файла:
0.34 Мб

Поправки и изменения к ГОСТ 12643-80:

  • Наименование, вид:
    Дата
    регистрации:
    начала действия:
  • Изменение №1 к ГОСТ 12643-80

    Тип изменения: Текстовое изменение
    Номер изменения: 1
    Регистрационный номер: 472

    1986-03-04
    1987-01-01
  • ГОСТ 12643-80, страница 1 страница 1
  • ГОСТ 12643-80, страница 2 страница 2
  • ГОСТ 12643-80, страница 3 страница 3
  • ГОСТ 12643-80, страница 4 страница 4
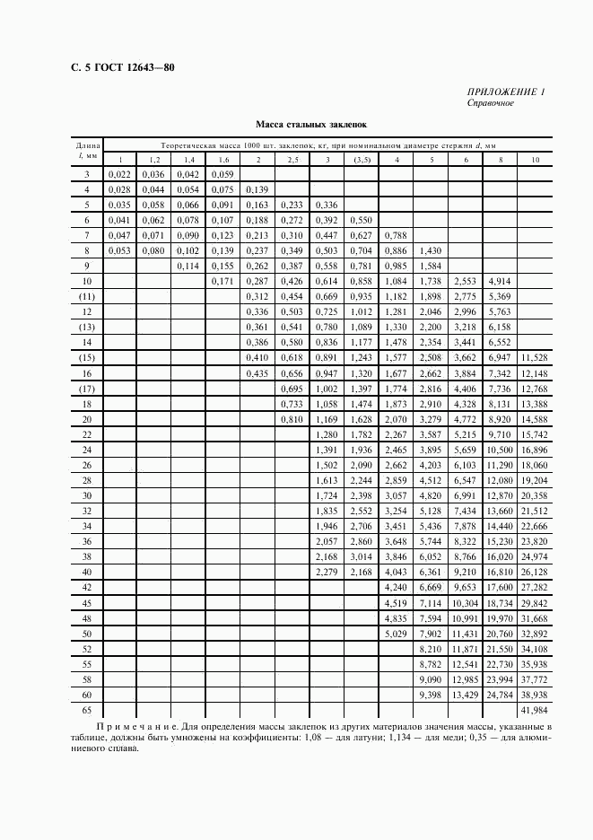
  • ГОСТ 12643-80, страница 5 страница 5
  • ГОСТ 12643-80, страница 6 страница 6
  • ГОСТ 12643-80, страница 7 страница 7
  • ГОСТ 12643-80, страница 8 страница 8