ГОСТ 11172-70 Развертки машинные с удлиненной рабочей частью. Конструкция и размеры

Категории ГОСТ 11172-70 по ОКС:
Статус документа:
действует, введён в действие 01.07.1971
Название на английском языке:
Extra long machine reamers. Design and dimensions
Дата актуализации информации по стандарту:
05.08.2025, в 13:08 (менее 3 месяцев назад)
Вид стандарта:
Стандарты на продукцию (услуги)
Дата начала действия ГОСТа:
1971-07-01
Дата последнего издания документа:
1989-08-01
Коды документа ГОСТ 11172-70:
Код ОКП:
391000
Код КГС:
Г23
Код ОКСТУ:
3917
Число страниц:
15
Назначение ГОСТ 11172-70:
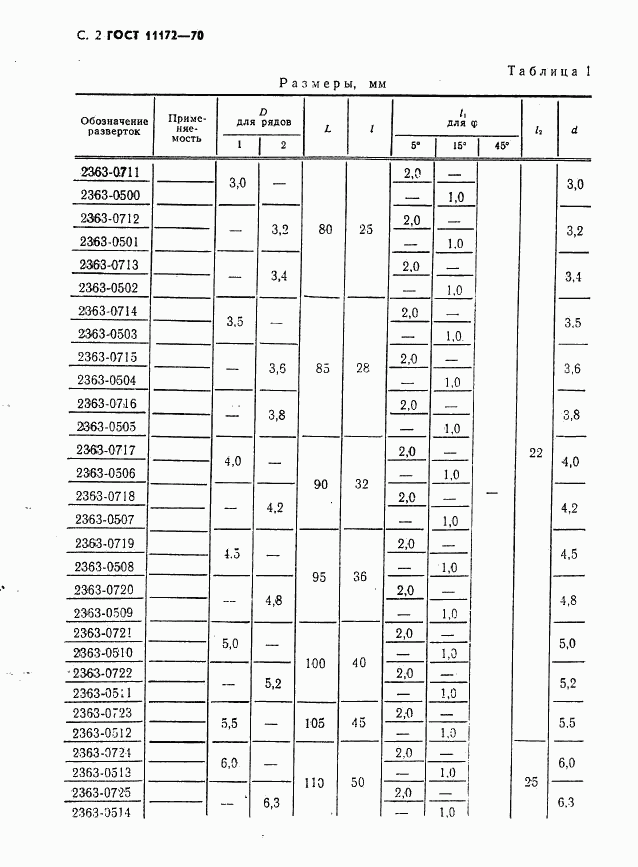
Настоящий стандарт распространяется на развертки с удлиненной рабочей частью, предназначенные для работы через кондукторные втулки: чистовые - для обработки отверстий с полями допусков, с припуском под доводку и черновые
ГРНТИ индекс(ы):
553129
Ключевые слова документа:
конструкция, развертки машинные, развертки с удлиненной рабочей частью, размеры
Нормативные ссылки, связанные с ГОСТ 11172-70:

Скачать ГОСТ 11172-70 вы можете в следующих версиях:

Дата добавления:
Тип файла:
Загрузок:
Размер:
12/12/2011 01:57
PDF с изображениями
750
0.65 Мб

Поправки и изменения к ГОСТ 11172-70:

  • Наименование, вид:
    Дата
    регистрации:
    начала действия:
  • Изменение №1 к ГОСТ 11172-70

    Тип изменения: Текстовое изменение
    Номер изменения: 1
    Регистрационный номер: 1492

    1973-06-18
    1973-07-01
  • Изменение №2 к ГОСТ 11172-70

    Тип изменения: Текстовое изменение
    Номер изменения: 2
    Регистрационный номер: 5914

    1980-12-22
    1981-01-01
  • Изменение №3 к ГОСТ 11172-70

    Тип изменения: Текстовое изменение
    Номер изменения: 3
    Регистрационный номер: 5599
    Новое значение: -

    1983-11-29
    1984-04-01

Текст стандарта

  • ГОСТ 11172-70, страница 1 страница 1
  • ГОСТ 11172-70, страница 2 страница 2
  • ГОСТ 11172-70, страница 3 страница 3
  • ГОСТ 11172-70, страница 4 страница 4
  • ГОСТ 11172-70, страница 5 страница 5
  • ГОСТ 11172-70, страница 6 страница 6
  • ГОСТ 11172-70, страница 7 страница 7
  • ГОСТ 11172-70, страница 8 страница 8
  • ГОСТ 11172-70, страница 9 страница 9
  • ГОСТ 11172-70, страница 10 страница 10
  • ГОСТ 11172-70, страница 11 страница 11
  • ГОСТ 11172-70, страница 12 страница 12
  • ГОСТ 11172-70, страница 13 страница 13
  • ГОСТ 11172-70, страница 14 страница 14
  • ГОСТ 11172-70, страница 15 страница 15