ГОСТ Р ИСО 10572-2012 Канаты из смешанных полиолефиновых волокон. Общие технические требования

Категории ГОСТ Р ИСО 10572-2012 по ОКС:
Статус документа:
действует, введён в действие 01.01.2016
Название на английском языке:
Ropes from mixed polyolefin fibers. General technical requirements
Дата актуализации информации по стандарту:
22.10.2025, в 19:34 (менее 3 месяцев назад)
Вид стандарта:
временно не известен
Дата начала действия ГОСТа:
2016-01-01
Коды документа ГОСТ Р ИСО 10572-2012:
Код КГС:
М09
Число страниц:
12
Назначение ГОСТ Р ИСО 10572-2012:
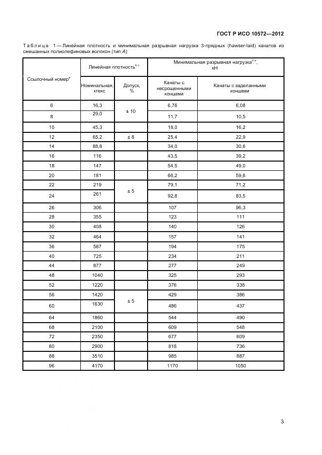
Настоящий стандарт распространяется на 3-прядные (hawser-laid), 4-прядные (shroud-laid), 8-прядные плетеные и 12-прядные плетеные канаты, изготовленные из смешанных полиолефиновых волокон, и устанавливает общие технические требования к ним и правила их обозначения
Ключевые слова документа:
канаты, маркировка, обозначение, общие требования, физические свойства

Скачать ГОСТ Р ИСО 10572-2012 вы можете в следующих версиях:

Тип файла:
Дата добавления:
Загрузок:
Размер:
Тип файла:
PDF с изображениями
Добавлен:
20/11/2025 16:05
Скачиваний:
24
Размер файла:
0.66 Мб
  • ГОСТ Р ИСО 10572-2012, страница 1 страница 1
  • ГОСТ Р ИСО 10572-2012, страница 2 страница 2
  • ГОСТ Р ИСО 10572-2012, страница 3 страница 3
  • ГОСТ Р ИСО 10572-2012, страница 4 страница 4
  • ГОСТ Р ИСО 10572-2012, страница 5 страница 5
  • ГОСТ Р ИСО 10572-2012, страница 6 страница 6
  • ГОСТ Р ИСО 10572-2012, страница 7 страница 7
  • ГОСТ Р ИСО 10572-2012, страница 8 страница 8
  • ГОСТ Р ИСО 10572-2012, страница 9 страница 9
  • ГОСТ Р ИСО 10572-2012, страница 10 страница 10
  • ГОСТ Р ИСО 10572-2012, страница 11 страница 11
  • ГОСТ Р ИСО 10572-2012, страница 12 страница 12