ГОСТ ИСО 105-F10-2002

Категории ГОСТ ИСО 105-F10-2002 по ОКС:
Статус документа:
действует, введён в действие 01.11.2024
Название на английском языке:
Textiles. Tests for colour fastness. Part F10. Specification for adjacent fabric. Multifibre
Дата актуализации информации по стандарту:
21.08.2025, в 15:18 (менее 3 месяцев назад)
Вид стандарта:
временно не известен
Дата начала действия ГОСТа:
2024-11-01
Число страниц:
12
Назначение ГОСТ ИСО 105-F10-2002:
не указано
Нормативные ссылки, связанные с ГОСТ ИСО 105-F10-2002:

Скачать ГОСТ ИСО 105-F10-2002 вы можете в следующих версиях:

В данный момент версий документа для скачивания не добавлено.

Мы стараемся пополнять базу документов еженедельно и из разных источников, в обозримом будущем версии для этого ГОСТа появятся.

Вы можете просмотреть online текст стандарта ГОСТ ИСО 105-F10-2002

Просмотреть текст ГОСТ ИСО 105-F10-2002

Текст стандарта

  • ГОСТ ИСО 105-F10-2002, страница 1 страница 1
  • ГОСТ ИСО 105-F10-2002, страница 2 страница 2
  • ГОСТ ИСО 105-F10-2002, страница 3 страница 3
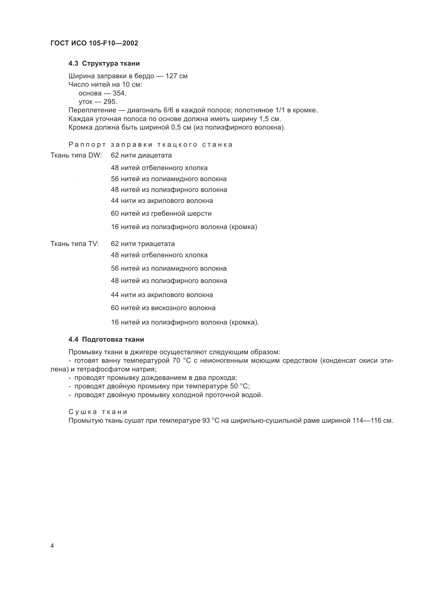
  • ГОСТ ИСО 105-F10-2002, страница 4 страница 4
  • ГОСТ ИСО 105-F10-2002, страница 5 страница 5
  • ГОСТ ИСО 105-F10-2002, страница 6 страница 6
  • ГОСТ ИСО 105-F10-2002, страница 7 страница 7
  • ГОСТ ИСО 105-F10-2002, страница 8 страница 8
  • ГОСТ ИСО 105-F10-2002, страница 9 страница 9
  • ГОСТ ИСО 105-F10-2002, страница 10 страница 10
  • ГОСТ ИСО 105-F10-2002, страница 11 страница 11
  • ГОСТ ИСО 105-F10-2002, страница 12 страница 12