ГОСТ Р ИСО/ТС 10303-1171-2012

ГОСТ Р ИСО/ТС 10303-1171-2012 Системы автоматизации производства и их интеграция. Представление данных об изделии и обмен этими данными. Часть 1171. Прикладной модуль. Класс состава действия

Категории ГОСТ Р ИСО/ТС 10303-1171-2012 по ОКС:
Статус документа:
действует, введён в действие 01.07.2013
Название на английском языке:
Industrial automation systems and integration. Product data representation and exchange. Part 1171. Application module. Class of composition of activity
Дата актуализации информации по стандарту:
30.11.-0001, в 00:00 (более года назад)
Вид стандарта:
временно не известен
Дата начала действия ГОСТа:
2013-07-01
Коды документа ГОСТ Р ИСО/ТС 10303-1171-2012:
Код КГС:
П87
Число страниц:
не известно
Назначение ГОСТ Р ИСО/ТС 10303-1171-2012:
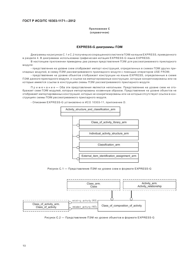
Настоящий стандарт определяет прикладной модуль «Класс состава действия». В область применения настоящего стандарта входит отображение между одним классом действий и другим классом, показывающее природу отношения часть-целое между двумя отдельными действиями
Ключевые слова документа:
действие, обмен данными, отношения "часть-целое" между двумя отдельными действиями, представление данных, прикладные автоматизированные системы, промышленные изделия
Нормативные ссылки, связанные с ГОСТ Р ИСО/ТС 10303-1171-2012:

Скачать ГОСТ Р ИСО/ТС 10303-1171-2012 вы можете в следующих версиях:

Дата добавления:
Тип файла:
Загрузок:
Размер:
23/01/2016 18:16
PDF с изображениями
0
0.77 Мб

Текст стандарта

  • ГОСТ Р ИСО/ТС 10303-1171-2012, страница 1 страница 1
  • ГОСТ Р ИСО/ТС 10303-1171-2012, страница 2 страница 2
  • ГОСТ Р ИСО/ТС 10303-1171-2012, страница 3 страница 3
  • ГОСТ Р ИСО/ТС 10303-1171-2012, страница 4 страница 4
  • ГОСТ Р ИСО/ТС 10303-1171-2012, страница 5 страница 5
  • ГОСТ Р ИСО/ТС 10303-1171-2012, страница 6 страница 6
  • ГОСТ Р ИСО/ТС 10303-1171-2012, страница 7 страница 7
  • ГОСТ Р ИСО/ТС 10303-1171-2012, страница 8 страница 8
  • ГОСТ Р ИСО/ТС 10303-1171-2012, страница 9 страница 9
  • ГОСТ Р ИСО/ТС 10303-1171-2012, страница 10 страница 10
  • ГОСТ Р ИСО/ТС 10303-1171-2012, страница 11 страница 11
  • ГОСТ Р ИСО/ТС 10303-1171-2012, страница 12 страница 12
  • ГОСТ Р ИСО/ТС 10303-1171-2012, страница 13 страница 13
  • ГОСТ Р ИСО/ТС 10303-1171-2012, страница 14 страница 14
  • ГОСТ Р ИСО/ТС 10303-1171-2012, страница 15 страница 15
  • ГОСТ Р ИСО/ТС 10303-1171-2012, страница 16 страница 16
  • ГОСТ Р ИСО/ТС 10303-1171-2012, страница 17 страница 17
  • ГОСТ Р ИСО/ТС 10303-1171-2012, страница 18 страница 18
  • ГОСТ Р ИСО/ТС 10303-1171-2012, страница 19 страница 19
  • ГОСТ Р ИСО/ТС 10303-1171-2012, страница 20 страница 20