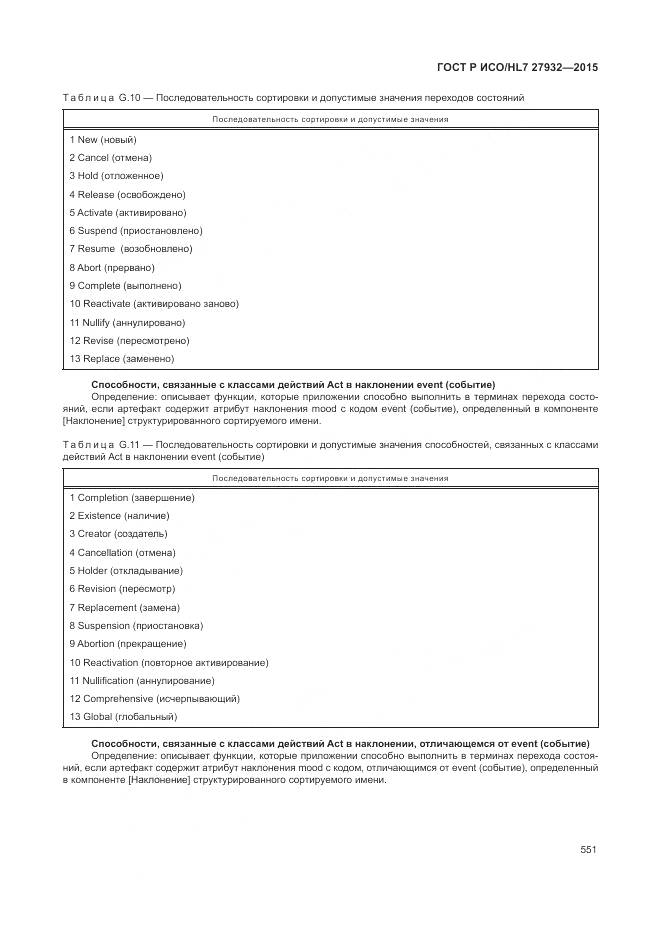
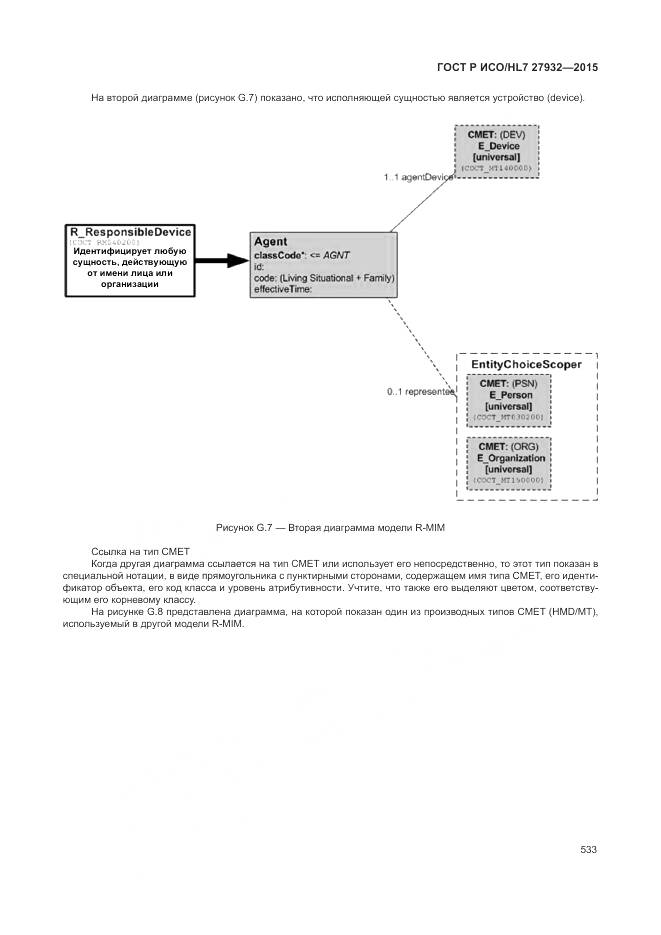
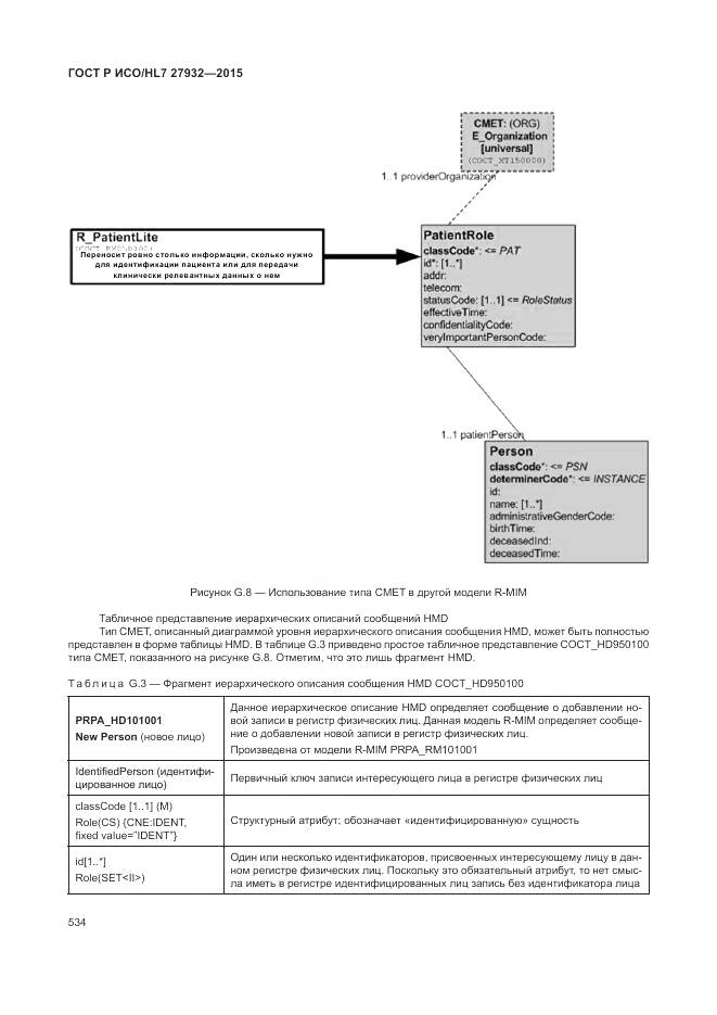
ГОСТ Р ИСО/HL 7 27932-2015 Информатизация здоровья. Стандарты обмена данными. Архитектура клинических документов HL7. Выпуск 2

Категории ГОСТ Р ИСО/HL 7 27932-2015 по ОКС:
Статус документа:
действует, введён в действие 01.11.2016
Название на английском языке:
Health informatics. Data Exchange Standards HL7. Clinical Document Architecture. Release 2
Дата актуализации информации по стандарту:
23.10.2025, в 16:00 (менее 3 месяцев назад)
Вид стандарта:
временно не известен
Дата начала действия ГОСТа:
2016-11-01
Число страниц:
582
Назначение ГОСТ Р ИСО/HL 7 27932-2015:
не указано

Скачать ГОСТ Р ИСО/HL 7 27932-2015 вы можете в следующих версиях:

Тип файла:
Дата добавления:
Загрузок:
Размер:
Тип файла:
PDF с изображениями
Добавлен:
20/11/2025 15:30
Скачиваний:
25
Размер файла:
47.48 Мб
  • ГОСТ Р ИСО/HL 7 27932-2015, страница 1 страница 1
  • ГОСТ Р ИСО/HL 7 27932-2015, страница 2 страница 2
  • ГОСТ Р ИСО/HL 7 27932-2015, страница 3 страница 3
  • ГОСТ Р ИСО/HL 7 27932-2015, страница 4 страница 4
  • ГОСТ Р ИСО/HL 7 27932-2015, страница 5 страница 5
  • ГОСТ Р ИСО/HL 7 27932-2015, страница 6 страница 6
  • ГОСТ Р ИСО/HL 7 27932-2015, страница 7 страница 7
  • ГОСТ Р ИСО/HL 7 27932-2015, страница 8 страница 8
  • ГОСТ Р ИСО/HL 7 27932-2015, страница 9 страница 9
  • ГОСТ Р ИСО/HL 7 27932-2015, страница 10 страница 10
  • ГОСТ Р ИСО/HL 7 27932-2015, страница 11 страница 11
  • ГОСТ Р ИСО/HL 7 27932-2015, страница 12 страница 12
  • ГОСТ Р ИСО/HL 7 27932-2015, страница 13 страница 13
  • ГОСТ Р ИСО/HL 7 27932-2015, страница 14 страница 14
  • ГОСТ Р ИСО/HL 7 27932-2015, страница 15 страница 15
  • ГОСТ Р ИСО/HL 7 27932-2015, страница 16 страница 16
  • ГОСТ Р ИСО/HL 7 27932-2015, страница 17 страница 17
  • ГОСТ Р ИСО/HL 7 27932-2015, страница 18 страница 18
  • ГОСТ Р ИСО/HL 7 27932-2015, страница 19 страница 19
  • ГОСТ Р ИСО/HL 7 27932-2015, страница 20 страница 20
  • ГОСТ Р ИСО/HL 7 27932-2015, страница 21 страница 21
  • ГОСТ Р ИСО/HL 7 27932-2015, страница 22 страница 22
  • ГОСТ Р ИСО/HL 7 27932-2015, страница 23 страница 23
  • ГОСТ Р ИСО/HL 7 27932-2015, страница 24 страница 24
  • ГОСТ Р ИСО/HL 7 27932-2015, страница 25 страница 25
  • ГОСТ Р ИСО/HL 7 27932-2015, страница 26 страница 26
  • ГОСТ Р ИСО/HL 7 27932-2015, страница 27 страница 27
  • ГОСТ Р ИСО/HL 7 27932-2015, страница 28 страница 28
  • ГОСТ Р ИСО/HL 7 27932-2015, страница 29 страница 29
  • ГОСТ Р ИСО/HL 7 27932-2015, страница 30 страница 30
  • ГОСТ Р ИСО/HL 7 27932-2015, страница 31 страница 31
  • ГОСТ Р ИСО/HL 7 27932-2015, страница 32 страница 32
  • ГОСТ Р ИСО/HL 7 27932-2015, страница 33 страница 33
  • ГОСТ Р ИСО/HL 7 27932-2015, страница 34 страница 34
  • ГОСТ Р ИСО/HL 7 27932-2015, страница 35 страница 35
  • ГОСТ Р ИСО/HL 7 27932-2015, страница 36 страница 36
  • ГОСТ Р ИСО/HL 7 27932-2015, страница 37 страница 37
  • ГОСТ Р ИСО/HL 7 27932-2015, страница 38 страница 38
  • ГОСТ Р ИСО/HL 7 27932-2015, страница 39 страница 39
  • ГОСТ Р ИСО/HL 7 27932-2015, страница 40 страница 40
  • ГОСТ Р ИСО/HL 7 27932-2015, страница 41 страница 41
  • ГОСТ Р ИСО/HL 7 27932-2015, страница 42 страница 42
  • ГОСТ Р ИСО/HL 7 27932-2015, страница 43 страница 43
  • ГОСТ Р ИСО/HL 7 27932-2015, страница 44 страница 44
  • ГОСТ Р ИСО/HL 7 27932-2015, страница 45 страница 45
  • ГОСТ Р ИСО/HL 7 27932-2015, страница 46 страница 46
  • ГОСТ Р ИСО/HL 7 27932-2015, страница 47 страница 47
  • ГОСТ Р ИСО/HL 7 27932-2015, страница 48 страница 48
  • ГОСТ Р ИСО/HL 7 27932-2015, страница 49 страница 49
  • ГОСТ Р ИСО/HL 7 27932-2015, страница 50 страница 50
  • ГОСТ Р ИСО/HL 7 27932-2015, страница 51 страница 51
  • ГОСТ Р ИСО/HL 7 27932-2015, страница 52 страница 52
  • ГОСТ Р ИСО/HL 7 27932-2015, страница 53 страница 53
  • ГОСТ Р ИСО/HL 7 27932-2015, страница 54 страница 54
  • ГОСТ Р ИСО/HL 7 27932-2015, страница 55 страница 55
  • ГОСТ Р ИСО/HL 7 27932-2015, страница 56 страница 56
  • ГОСТ Р ИСО/HL 7 27932-2015, страница 57 страница 57
  • ГОСТ Р ИСО/HL 7 27932-2015, страница 58 страница 58
  • ГОСТ Р ИСО/HL 7 27932-2015, страница 59 страница 59
  • ГОСТ Р ИСО/HL 7 27932-2015, страница 60 страница 60
  • ГОСТ Р ИСО/HL 7 27932-2015, страница 61 страница 61
  • ГОСТ Р ИСО/HL 7 27932-2015, страница 62 страница 62
  • ГОСТ Р ИСО/HL 7 27932-2015, страница 63 страница 63
  • ГОСТ Р ИСО/HL 7 27932-2015, страница 64 страница 64
  • ГОСТ Р ИСО/HL 7 27932-2015, страница 65 страница 65
  • ГОСТ Р ИСО/HL 7 27932-2015, страница 66 страница 66
  • ГОСТ Р ИСО/HL 7 27932-2015, страница 67 страница 67
  • ГОСТ Р ИСО/HL 7 27932-2015, страница 68 страница 68
  • ГОСТ Р ИСО/HL 7 27932-2015, страница 69 страница 69
  • ГОСТ Р ИСО/HL 7 27932-2015, страница 70 страница 70
  • ГОСТ Р ИСО/HL 7 27932-2015, страница 71 страница 71
  • ГОСТ Р ИСО/HL 7 27932-2015, страница 72 страница 72
  • ГОСТ Р ИСО/HL 7 27932-2015, страница 73 страница 73
  • ГОСТ Р ИСО/HL 7 27932-2015, страница 74 страница 74
  • ГОСТ Р ИСО/HL 7 27932-2015, страница 75 страница 75
  • ГОСТ Р ИСО/HL 7 27932-2015, страница 76 страница 76
  • ГОСТ Р ИСО/HL 7 27932-2015, страница 77 страница 77
  • ГОСТ Р ИСО/HL 7 27932-2015, страница 78 страница 78
  • ГОСТ Р ИСО/HL 7 27932-2015, страница 79 страница 79
  • ГОСТ Р ИСО/HL 7 27932-2015, страница 80 страница 80
  • ГОСТ Р ИСО/HL 7 27932-2015, страница 81 страница 81
  • ГОСТ Р ИСО/HL 7 27932-2015, страница 82 страница 82
  • ГОСТ Р ИСО/HL 7 27932-2015, страница 83 страница 83
  • ГОСТ Р ИСО/HL 7 27932-2015, страница 84 страница 84
  • ГОСТ Р ИСО/HL 7 27932-2015, страница 85 страница 85
  • ГОСТ Р ИСО/HL 7 27932-2015, страница 86 страница 86
  • ГОСТ Р ИСО/HL 7 27932-2015, страница 87 страница 87
  • ГОСТ Р ИСО/HL 7 27932-2015, страница 88 страница 88
  • ГОСТ Р ИСО/HL 7 27932-2015, страница 89 страница 89
  • ГОСТ Р ИСО/HL 7 27932-2015, страница 90 страница 90
  • ГОСТ Р ИСО/HL 7 27932-2015, страница 91 страница 91
  • ГОСТ Р ИСО/HL 7 27932-2015, страница 92 страница 92
  • ГОСТ Р ИСО/HL 7 27932-2015, страница 93 страница 93
  • ГОСТ Р ИСО/HL 7 27932-2015, страница 94 страница 94
  • ГОСТ Р ИСО/HL 7 27932-2015, страница 95 страница 95
  • ГОСТ Р ИСО/HL 7 27932-2015, страница 96 страница 96
  • ГОСТ Р ИСО/HL 7 27932-2015, страница 97 страница 97
  • ГОСТ Р ИСО/HL 7 27932-2015, страница 98 страница 98
  • ГОСТ Р ИСО/HL 7 27932-2015, страница 99 страница 99
  • ГОСТ Р ИСО/HL 7 27932-2015, страница 100 страница 100
  • ГОСТ Р ИСО/HL 7 27932-2015, страница 101 страница 101
  • ГОСТ Р ИСО/HL 7 27932-2015, страница 102 страница 102
  • ГОСТ Р ИСО/HL 7 27932-2015, страница 103 страница 103
  • ГОСТ Р ИСО/HL 7 27932-2015, страница 104 страница 104
  • ГОСТ Р ИСО/HL 7 27932-2015, страница 105 страница 105
  • ГОСТ Р ИСО/HL 7 27932-2015, страница 106 страница 106
  • ГОСТ Р ИСО/HL 7 27932-2015, страница 107 страница 107
  • ГОСТ Р ИСО/HL 7 27932-2015, страница 108 страница 108
  • ГОСТ Р ИСО/HL 7 27932-2015, страница 109 страница 109
  • ГОСТ Р ИСО/HL 7 27932-2015, страница 110 страница 110
  • ГОСТ Р ИСО/HL 7 27932-2015, страница 111 страница 111
  • ГОСТ Р ИСО/HL 7 27932-2015, страница 112 страница 112
  • ГОСТ Р ИСО/HL 7 27932-2015, страница 113 страница 113
  • ГОСТ Р ИСО/HL 7 27932-2015, страница 114 страница 114
  • ГОСТ Р ИСО/HL 7 27932-2015, страница 115 страница 115
  • ГОСТ Р ИСО/HL 7 27932-2015, страница 116 страница 116
  • ГОСТ Р ИСО/HL 7 27932-2015, страница 117 страница 117
  • ГОСТ Р ИСО/HL 7 27932-2015, страница 118 страница 118
  • ГОСТ Р ИСО/HL 7 27932-2015, страница 119 страница 119
  • ГОСТ Р ИСО/HL 7 27932-2015, страница 120 страница 120
  • ГОСТ Р ИСО/HL 7 27932-2015, страница 121 страница 121
  • ГОСТ Р ИСО/HL 7 27932-2015, страница 122 страница 122
  • ГОСТ Р ИСО/HL 7 27932-2015, страница 123 страница 123
  • ГОСТ Р ИСО/HL 7 27932-2015, страница 124 страница 124
  • ГОСТ Р ИСО/HL 7 27932-2015, страница 125 страница 125
  • ГОСТ Р ИСО/HL 7 27932-2015, страница 126 страница 126
  • ГОСТ Р ИСО/HL 7 27932-2015, страница 127 страница 127
  • ГОСТ Р ИСО/HL 7 27932-2015, страница 128 страница 128
  • ГОСТ Р ИСО/HL 7 27932-2015, страница 129 страница 129
  • ГОСТ Р ИСО/HL 7 27932-2015, страница 130 страница 130
  • ГОСТ Р ИСО/HL 7 27932-2015, страница 131 страница 131
  • ГОСТ Р ИСО/HL 7 27932-2015, страница 132 страница 132
  • ГОСТ Р ИСО/HL 7 27932-2015, страница 133 страница 133
  • ГОСТ Р ИСО/HL 7 27932-2015, страница 134 страница 134
  • ГОСТ Р ИСО/HL 7 27932-2015, страница 135 страница 135
  • ГОСТ Р ИСО/HL 7 27932-2015, страница 136 страница 136
  • ГОСТ Р ИСО/HL 7 27932-2015, страница 137 страница 137
  • ГОСТ Р ИСО/HL 7 27932-2015, страница 138 страница 138
  • ГОСТ Р ИСО/HL 7 27932-2015, страница 139 страница 139
  • ГОСТ Р ИСО/HL 7 27932-2015, страница 140 страница 140
  • ГОСТ Р ИСО/HL 7 27932-2015, страница 141 страница 141
  • ГОСТ Р ИСО/HL 7 27932-2015, страница 142 страница 142
  • ГОСТ Р ИСО/HL 7 27932-2015, страница 143 страница 143
  • ГОСТ Р ИСО/HL 7 27932-2015, страница 144 страница 144
  • ГОСТ Р ИСО/HL 7 27932-2015, страница 145 страница 145
  • ГОСТ Р ИСО/HL 7 27932-2015, страница 146 страница 146
  • ГОСТ Р ИСО/HL 7 27932-2015, страница 147 страница 147
  • ГОСТ Р ИСО/HL 7 27932-2015, страница 148 страница 148
  • ГОСТ Р ИСО/HL 7 27932-2015, страница 149 страница 149
  • ГОСТ Р ИСО/HL 7 27932-2015, страница 150 страница 150
  • ГОСТ Р ИСО/HL 7 27932-2015, страница 151 страница 151
  • ГОСТ Р ИСО/HL 7 27932-2015, страница 152 страница 152
  • ГОСТ Р ИСО/HL 7 27932-2015, страница 153 страница 153
  • ГОСТ Р ИСО/HL 7 27932-2015, страница 154 страница 154
  • ГОСТ Р ИСО/HL 7 27932-2015, страница 155 страница 155
  • ГОСТ Р ИСО/HL 7 27932-2015, страница 156 страница 156
  • ГОСТ Р ИСО/HL 7 27932-2015, страница 157 страница 157
  • ГОСТ Р ИСО/HL 7 27932-2015, страница 158 страница 158
  • ГОСТ Р ИСО/HL 7 27932-2015, страница 159 страница 159
  • ГОСТ Р ИСО/HL 7 27932-2015, страница 160 страница 160
  • ГОСТ Р ИСО/HL 7 27932-2015, страница 161 страница 161
  • ГОСТ Р ИСО/HL 7 27932-2015, страница 162 страница 162
  • ГОСТ Р ИСО/HL 7 27932-2015, страница 163 страница 163
  • ГОСТ Р ИСО/HL 7 27932-2015, страница 164 страница 164
  • ГОСТ Р ИСО/HL 7 27932-2015, страница 165 страница 165
  • ГОСТ Р ИСО/HL 7 27932-2015, страница 166 страница 166
  • ГОСТ Р ИСО/HL 7 27932-2015, страница 167 страница 167
  • ГОСТ Р ИСО/HL 7 27932-2015, страница 168 страница 168
  • ГОСТ Р ИСО/HL 7 27932-2015, страница 169 страница 169
  • ГОСТ Р ИСО/HL 7 27932-2015, страница 170 страница 170
  • ГОСТ Р ИСО/HL 7 27932-2015, страница 171 страница 171
  • ГОСТ Р ИСО/HL 7 27932-2015, страница 172 страница 172
  • ГОСТ Р ИСО/HL 7 27932-2015, страница 173 страница 173
  • ГОСТ Р ИСО/HL 7 27932-2015, страница 174 страница 174
  • ГОСТ Р ИСО/HL 7 27932-2015, страница 175 страница 175
  • ГОСТ Р ИСО/HL 7 27932-2015, страница 176 страница 176
  • ГОСТ Р ИСО/HL 7 27932-2015, страница 177 страница 177
  • ГОСТ Р ИСО/HL 7 27932-2015, страница 178 страница 178
  • ГОСТ Р ИСО/HL 7 27932-2015, страница 179 страница 179
  • ГОСТ Р ИСО/HL 7 27932-2015, страница 180 страница 180
  • ГОСТ Р ИСО/HL 7 27932-2015, страница 181 страница 181
  • ГОСТ Р ИСО/HL 7 27932-2015, страница 182 страница 182
  • ГОСТ Р ИСО/HL 7 27932-2015, страница 183 страница 183
  • ГОСТ Р ИСО/HL 7 27932-2015, страница 184 страница 184
  • ГОСТ Р ИСО/HL 7 27932-2015, страница 185 страница 185
  • ГОСТ Р ИСО/HL 7 27932-2015, страница 186 страница 186
  • ГОСТ Р ИСО/HL 7 27932-2015, страница 187 страница 187
  • ГОСТ Р ИСО/HL 7 27932-2015, страница 188 страница 188
  • ГОСТ Р ИСО/HL 7 27932-2015, страница 189 страница 189
  • ГОСТ Р ИСО/HL 7 27932-2015, страница 190 страница 190
  • ГОСТ Р ИСО/HL 7 27932-2015, страница 191 страница 191
  • ГОСТ Р ИСО/HL 7 27932-2015, страница 192 страница 192
  • ГОСТ Р ИСО/HL 7 27932-2015, страница 193 страница 193
  • ГОСТ Р ИСО/HL 7 27932-2015, страница 194 страница 194
  • ГОСТ Р ИСО/HL 7 27932-2015, страница 195 страница 195
  • ГОСТ Р ИСО/HL 7 27932-2015, страница 196 страница 196
  • ГОСТ Р ИСО/HL 7 27932-2015, страница 197 страница 197
  • ГОСТ Р ИСО/HL 7 27932-2015, страница 198 страница 198
  • ГОСТ Р ИСО/HL 7 27932-2015, страница 199 страница 199
  • ГОСТ Р ИСО/HL 7 27932-2015, страница 200 страница 200
  • ГОСТ Р ИСО/HL 7 27932-2015, страница 201 страница 201
  • ГОСТ Р ИСО/HL 7 27932-2015, страница 202 страница 202
  • ГОСТ Р ИСО/HL 7 27932-2015, страница 203 страница 203
  • ГОСТ Р ИСО/HL 7 27932-2015, страница 204 страница 204
  • ГОСТ Р ИСО/HL 7 27932-2015, страница 205 страница 205
  • ГОСТ Р ИСО/HL 7 27932-2015, страница 206 страница 206
  • ГОСТ Р ИСО/HL 7 27932-2015, страница 207 страница 207
  • ГОСТ Р ИСО/HL 7 27932-2015, страница 208 страница 208
  • ГОСТ Р ИСО/HL 7 27932-2015, страница 209 страница 209
  • ГОСТ Р ИСО/HL 7 27932-2015, страница 210 страница 210
  • ГОСТ Р ИСО/HL 7 27932-2015, страница 211 страница 211
  • ГОСТ Р ИСО/HL 7 27932-2015, страница 212 страница 212
  • ГОСТ Р ИСО/HL 7 27932-2015, страница 213 страница 213
  • ГОСТ Р ИСО/HL 7 27932-2015, страница 214 страница 214
  • ГОСТ Р ИСО/HL 7 27932-2015, страница 215 страница 215
  • ГОСТ Р ИСО/HL 7 27932-2015, страница 216 страница 216
  • ГОСТ Р ИСО/HL 7 27932-2015, страница 217 страница 217
  • ГОСТ Р ИСО/HL 7 27932-2015, страница 218 страница 218
  • ГОСТ Р ИСО/HL 7 27932-2015, страница 219 страница 219
  • ГОСТ Р ИСО/HL 7 27932-2015, страница 220 страница 220
  • ГОСТ Р ИСО/HL 7 27932-2015, страница 221 страница 221
  • ГОСТ Р ИСО/HL 7 27932-2015, страница 222 страница 222
  • ГОСТ Р ИСО/HL 7 27932-2015, страница 223 страница 223
  • ГОСТ Р ИСО/HL 7 27932-2015, страница 224 страница 224
  • ГОСТ Р ИСО/HL 7 27932-2015, страница 225 страница 225
  • ГОСТ Р ИСО/HL 7 27932-2015, страница 226 страница 226
  • ГОСТ Р ИСО/HL 7 27932-2015, страница 227 страница 227
  • ГОСТ Р ИСО/HL 7 27932-2015, страница 228 страница 228
  • ГОСТ Р ИСО/HL 7 27932-2015, страница 229 страница 229
  • ГОСТ Р ИСО/HL 7 27932-2015, страница 230 страница 230
  • ГОСТ Р ИСО/HL 7 27932-2015, страница 231 страница 231
  • ГОСТ Р ИСО/HL 7 27932-2015, страница 232 страница 232
  • ГОСТ Р ИСО/HL 7 27932-2015, страница 233 страница 233
  • ГОСТ Р ИСО/HL 7 27932-2015, страница 234 страница 234
  • ГОСТ Р ИСО/HL 7 27932-2015, страница 235 страница 235
  • ГОСТ Р ИСО/HL 7 27932-2015, страница 236 страница 236
  • ГОСТ Р ИСО/HL 7 27932-2015, страница 237 страница 237
  • ГОСТ Р ИСО/HL 7 27932-2015, страница 238 страница 238
  • ГОСТ Р ИСО/HL 7 27932-2015, страница 239 страница 239
  • ГОСТ Р ИСО/HL 7 27932-2015, страница 240 страница 240
  • ГОСТ Р ИСО/HL 7 27932-2015, страница 241 страница 241
  • ГОСТ Р ИСО/HL 7 27932-2015, страница 242 страница 242
  • ГОСТ Р ИСО/HL 7 27932-2015, страница 243 страница 243
  • ГОСТ Р ИСО/HL 7 27932-2015, страница 244 страница 244
  • ГОСТ Р ИСО/HL 7 27932-2015, страница 245 страница 245
  • ГОСТ Р ИСО/HL 7 27932-2015, страница 246 страница 246
  • ГОСТ Р ИСО/HL 7 27932-2015, страница 247 страница 247
  • ГОСТ Р ИСО/HL 7 27932-2015, страница 248 страница 248
  • ГОСТ Р ИСО/HL 7 27932-2015, страница 249 страница 249
  • ГОСТ Р ИСО/HL 7 27932-2015, страница 250 страница 250
  • ГОСТ Р ИСО/HL 7 27932-2015, страница 251 страница 251
  • ГОСТ Р ИСО/HL 7 27932-2015, страница 252 страница 252
  • ГОСТ Р ИСО/HL 7 27932-2015, страница 253 страница 253
  • ГОСТ Р ИСО/HL 7 27932-2015, страница 254 страница 254
  • ГОСТ Р ИСО/HL 7 27932-2015, страница 255 страница 255
  • ГОСТ Р ИСО/HL 7 27932-2015, страница 256 страница 256
  • ГОСТ Р ИСО/HL 7 27932-2015, страница 257 страница 257
  • ГОСТ Р ИСО/HL 7 27932-2015, страница 258 страница 258
  • ГОСТ Р ИСО/HL 7 27932-2015, страница 259 страница 259
  • ГОСТ Р ИСО/HL 7 27932-2015, страница 260 страница 260
  • ГОСТ Р ИСО/HL 7 27932-2015, страница 261 страница 261
  • ГОСТ Р ИСО/HL 7 27932-2015, страница 262 страница 262
  • ГОСТ Р ИСО/HL 7 27932-2015, страница 263 страница 263
  • ГОСТ Р ИСО/HL 7 27932-2015, страница 264 страница 264
  • ГОСТ Р ИСО/HL 7 27932-2015, страница 265 страница 265
  • ГОСТ Р ИСО/HL 7 27932-2015, страница 266 страница 266
  • ГОСТ Р ИСО/HL 7 27932-2015, страница 267 страница 267
  • ГОСТ Р ИСО/HL 7 27932-2015, страница 268 страница 268
  • ГОСТ Р ИСО/HL 7 27932-2015, страница 269 страница 269
  • ГОСТ Р ИСО/HL 7 27932-2015, страница 270 страница 270
  • ГОСТ Р ИСО/HL 7 27932-2015, страница 271 страница 271
  • ГОСТ Р ИСО/HL 7 27932-2015, страница 272 страница 272
  • ГОСТ Р ИСО/HL 7 27932-2015, страница 273 страница 273
  • ГОСТ Р ИСО/HL 7 27932-2015, страница 274 страница 274
  • ГОСТ Р ИСО/HL 7 27932-2015, страница 275 страница 275
  • ГОСТ Р ИСО/HL 7 27932-2015, страница 276 страница 276
  • ГОСТ Р ИСО/HL 7 27932-2015, страница 277 страница 277
  • ГОСТ Р ИСО/HL 7 27932-2015, страница 278 страница 278
  • ГОСТ Р ИСО/HL 7 27932-2015, страница 279 страница 279
  • ГОСТ Р ИСО/HL 7 27932-2015, страница 280 страница 280
  • ГОСТ Р ИСО/HL 7 27932-2015, страница 281 страница 281
  • ГОСТ Р ИСО/HL 7 27932-2015, страница 282 страница 282
  • ГОСТ Р ИСО/HL 7 27932-2015, страница 283 страница 283
  • ГОСТ Р ИСО/HL 7 27932-2015, страница 284 страница 284
  • ГОСТ Р ИСО/HL 7 27932-2015, страница 285 страница 285
  • ГОСТ Р ИСО/HL 7 27932-2015, страница 286 страница 286
  • ГОСТ Р ИСО/HL 7 27932-2015, страница 287 страница 287
  • ГОСТ Р ИСО/HL 7 27932-2015, страница 288 страница 288
  • ГОСТ Р ИСО/HL 7 27932-2015, страница 289 страница 289
  • ГОСТ Р ИСО/HL 7 27932-2015, страница 290 страница 290
  • ГОСТ Р ИСО/HL 7 27932-2015, страница 291 страница 291
  • ГОСТ Р ИСО/HL 7 27932-2015, страница 292 страница 292
  • ГОСТ Р ИСО/HL 7 27932-2015, страница 293 страница 293
  • ГОСТ Р ИСО/HL 7 27932-2015, страница 294 страница 294
  • ГОСТ Р ИСО/HL 7 27932-2015, страница 295 страница 295
  • ГОСТ Р ИСО/HL 7 27932-2015, страница 296 страница 296
  • ГОСТ Р ИСО/HL 7 27932-2015, страница 297 страница 297
  • ГОСТ Р ИСО/HL 7 27932-2015, страница 298 страница 298
  • ГОСТ Р ИСО/HL 7 27932-2015, страница 299 страница 299
  • ГОСТ Р ИСО/HL 7 27932-2015, страница 300 страница 300
  • ГОСТ Р ИСО/HL 7 27932-2015, страница 301 страница 301
  • ГОСТ Р ИСО/HL 7 27932-2015, страница 302 страница 302
  • ГОСТ Р ИСО/HL 7 27932-2015, страница 303 страница 303
  • ГОСТ Р ИСО/HL 7 27932-2015, страница 304 страница 304
  • ГОСТ Р ИСО/HL 7 27932-2015, страница 305 страница 305
  • ГОСТ Р ИСО/HL 7 27932-2015, страница 306 страница 306
  • ГОСТ Р ИСО/HL 7 27932-2015, страница 307 страница 307
  • ГОСТ Р ИСО/HL 7 27932-2015, страница 308 страница 308
  • ГОСТ Р ИСО/HL 7 27932-2015, страница 309 страница 309
  • ГОСТ Р ИСО/HL 7 27932-2015, страница 310 страница 310
  • ГОСТ Р ИСО/HL 7 27932-2015, страница 311 страница 311
  • ГОСТ Р ИСО/HL 7 27932-2015, страница 312 страница 312
  • ГОСТ Р ИСО/HL 7 27932-2015, страница 313 страница 313
  • ГОСТ Р ИСО/HL 7 27932-2015, страница 314 страница 314
  • ГОСТ Р ИСО/HL 7 27932-2015, страница 315 страница 315
  • ГОСТ Р ИСО/HL 7 27932-2015, страница 316 страница 316
  • ГОСТ Р ИСО/HL 7 27932-2015, страница 317 страница 317
  • ГОСТ Р ИСО/HL 7 27932-2015, страница 318 страница 318
  • ГОСТ Р ИСО/HL 7 27932-2015, страница 319 страница 319
  • ГОСТ Р ИСО/HL 7 27932-2015, страница 320 страница 320
  • ГОСТ Р ИСО/HL 7 27932-2015, страница 321 страница 321
  • ГОСТ Р ИСО/HL 7 27932-2015, страница 322 страница 322
  • ГОСТ Р ИСО/HL 7 27932-2015, страница 323 страница 323
  • ГОСТ Р ИСО/HL 7 27932-2015, страница 324 страница 324
  • ГОСТ Р ИСО/HL 7 27932-2015, страница 325 страница 325
  • ГОСТ Р ИСО/HL 7 27932-2015, страница 326 страница 326
  • ГОСТ Р ИСО/HL 7 27932-2015, страница 327 страница 327
  • ГОСТ Р ИСО/HL 7 27932-2015, страница 328 страница 328
  • ГОСТ Р ИСО/HL 7 27932-2015, страница 329 страница 329
  • ГОСТ Р ИСО/HL 7 27932-2015, страница 330 страница 330
  • ГОСТ Р ИСО/HL 7 27932-2015, страница 331 страница 331
  • ГОСТ Р ИСО/HL 7 27932-2015, страница 332 страница 332
  • ГОСТ Р ИСО/HL 7 27932-2015, страница 333 страница 333
  • ГОСТ Р ИСО/HL 7 27932-2015, страница 334 страница 334
  • ГОСТ Р ИСО/HL 7 27932-2015, страница 335 страница 335
  • ГОСТ Р ИСО/HL 7 27932-2015, страница 336 страница 336
  • ГОСТ Р ИСО/HL 7 27932-2015, страница 337 страница 337
  • ГОСТ Р ИСО/HL 7 27932-2015, страница 338 страница 338
  • ГОСТ Р ИСО/HL 7 27932-2015, страница 339 страница 339
  • ГОСТ Р ИСО/HL 7 27932-2015, страница 340 страница 340
  • ГОСТ Р ИСО/HL 7 27932-2015, страница 341 страница 341
  • ГОСТ Р ИСО/HL 7 27932-2015, страница 342 страница 342
  • ГОСТ Р ИСО/HL 7 27932-2015, страница 343 страница 343
  • ГОСТ Р ИСО/HL 7 27932-2015, страница 344 страница 344
  • ГОСТ Р ИСО/HL 7 27932-2015, страница 345 страница 345
  • ГОСТ Р ИСО/HL 7 27932-2015, страница 346 страница 346
  • ГОСТ Р ИСО/HL 7 27932-2015, страница 347 страница 347
  • ГОСТ Р ИСО/HL 7 27932-2015, страница 348 страница 348
  • ГОСТ Р ИСО/HL 7 27932-2015, страница 349 страница 349
  • ГОСТ Р ИСО/HL 7 27932-2015, страница 350 страница 350
  • ГОСТ Р ИСО/HL 7 27932-2015, страница 351 страница 351
  • ГОСТ Р ИСО/HL 7 27932-2015, страница 352 страница 352
  • ГОСТ Р ИСО/HL 7 27932-2015, страница 353 страница 353
  • ГОСТ Р ИСО/HL 7 27932-2015, страница 354 страница 354
  • ГОСТ Р ИСО/HL 7 27932-2015, страница 355 страница 355
  • ГОСТ Р ИСО/HL 7 27932-2015, страница 356 страница 356
  • ГОСТ Р ИСО/HL 7 27932-2015, страница 357 страница 357
  • ГОСТ Р ИСО/HL 7 27932-2015, страница 358 страница 358
  • ГОСТ Р ИСО/HL 7 27932-2015, страница 359 страница 359
  • ГОСТ Р ИСО/HL 7 27932-2015, страница 360 страница 360
  • ГОСТ Р ИСО/HL 7 27932-2015, страница 361 страница 361
  • ГОСТ Р ИСО/HL 7 27932-2015, страница 362 страница 362
  • ГОСТ Р ИСО/HL 7 27932-2015, страница 363 страница 363
  • ГОСТ Р ИСО/HL 7 27932-2015, страница 364 страница 364
  • ГОСТ Р ИСО/HL 7 27932-2015, страница 365 страница 365
  • ГОСТ Р ИСО/HL 7 27932-2015, страница 366 страница 366
  • ГОСТ Р ИСО/HL 7 27932-2015, страница 367 страница 367
  • ГОСТ Р ИСО/HL 7 27932-2015, страница 368 страница 368
  • ГОСТ Р ИСО/HL 7 27932-2015, страница 369 страница 369
  • ГОСТ Р ИСО/HL 7 27932-2015, страница 370 страница 370
  • ГОСТ Р ИСО/HL 7 27932-2015, страница 371 страница 371
  • ГОСТ Р ИСО/HL 7 27932-2015, страница 372 страница 372
  • ГОСТ Р ИСО/HL 7 27932-2015, страница 373 страница 373
  • ГОСТ Р ИСО/HL 7 27932-2015, страница 374 страница 374
  • ГОСТ Р ИСО/HL 7 27932-2015, страница 375 страница 375
  • ГОСТ Р ИСО/HL 7 27932-2015, страница 376 страница 376
  • ГОСТ Р ИСО/HL 7 27932-2015, страница 377 страница 377
  • ГОСТ Р ИСО/HL 7 27932-2015, страница 378 страница 378
  • ГОСТ Р ИСО/HL 7 27932-2015, страница 379 страница 379
  • ГОСТ Р ИСО/HL 7 27932-2015, страница 380 страница 380
  • ГОСТ Р ИСО/HL 7 27932-2015, страница 381 страница 381
  • ГОСТ Р ИСО/HL 7 27932-2015, страница 382 страница 382
  • ГОСТ Р ИСО/HL 7 27932-2015, страница 383 страница 383
  • ГОСТ Р ИСО/HL 7 27932-2015, страница 384 страница 384
  • ГОСТ Р ИСО/HL 7 27932-2015, страница 385 страница 385
  • ГОСТ Р ИСО/HL 7 27932-2015, страница 386 страница 386
  • ГОСТ Р ИСО/HL 7 27932-2015, страница 387 страница 387
  • ГОСТ Р ИСО/HL 7 27932-2015, страница 388 страница 388
  • ГОСТ Р ИСО/HL 7 27932-2015, страница 389 страница 389
  • ГОСТ Р ИСО/HL 7 27932-2015, страница 390 страница 390
  • ГОСТ Р ИСО/HL 7 27932-2015, страница 391 страница 391
  • ГОСТ Р ИСО/HL 7 27932-2015, страница 392 страница 392
  • ГОСТ Р ИСО/HL 7 27932-2015, страница 393 страница 393
  • ГОСТ Р ИСО/HL 7 27932-2015, страница 394 страница 394
  • ГОСТ Р ИСО/HL 7 27932-2015, страница 395 страница 395
  • ГОСТ Р ИСО/HL 7 27932-2015, страница 396 страница 396
  • ГОСТ Р ИСО/HL 7 27932-2015, страница 397 страница 397
  • ГОСТ Р ИСО/HL 7 27932-2015, страница 398 страница 398
  • ГОСТ Р ИСО/HL 7 27932-2015, страница 399 страница 399
  • ГОСТ Р ИСО/HL 7 27932-2015, страница 400 страница 400
  • ГОСТ Р ИСО/HL 7 27932-2015, страница 401 страница 401
  • ГОСТ Р ИСО/HL 7 27932-2015, страница 402 страница 402
  • ГОСТ Р ИСО/HL 7 27932-2015, страница 403 страница 403
  • ГОСТ Р ИСО/HL 7 27932-2015, страница 404 страница 404
  • ГОСТ Р ИСО/HL 7 27932-2015, страница 405 страница 405
  • ГОСТ Р ИСО/HL 7 27932-2015, страница 406 страница 406
  • ГОСТ Р ИСО/HL 7 27932-2015, страница 407 страница 407
  • ГОСТ Р ИСО/HL 7 27932-2015, страница 408 страница 408
  • ГОСТ Р ИСО/HL 7 27932-2015, страница 409 страница 409
  • ГОСТ Р ИСО/HL 7 27932-2015, страница 410 страница 410
  • ГОСТ Р ИСО/HL 7 27932-2015, страница 411 страница 411
  • ГОСТ Р ИСО/HL 7 27932-2015, страница 412 страница 412
  • ГОСТ Р ИСО/HL 7 27932-2015, страница 413 страница 413
  • ГОСТ Р ИСО/HL 7 27932-2015, страница 414 страница 414
  • ГОСТ Р ИСО/HL 7 27932-2015, страница 415 страница 415
  • ГОСТ Р ИСО/HL 7 27932-2015, страница 416 страница 416
  • ГОСТ Р ИСО/HL 7 27932-2015, страница 417 страница 417
  • ГОСТ Р ИСО/HL 7 27932-2015, страница 418 страница 418
  • ГОСТ Р ИСО/HL 7 27932-2015, страница 419 страница 419
  • ГОСТ Р ИСО/HL 7 27932-2015, страница 420 страница 420
  • ГОСТ Р ИСО/HL 7 27932-2015, страница 421 страница 421
  • ГОСТ Р ИСО/HL 7 27932-2015, страница 422 страница 422
  • ГОСТ Р ИСО/HL 7 27932-2015, страница 423 страница 423
  • ГОСТ Р ИСО/HL 7 27932-2015, страница 424 страница 424
  • ГОСТ Р ИСО/HL 7 27932-2015, страница 425 страница 425
  • ГОСТ Р ИСО/HL 7 27932-2015, страница 426 страница 426
  • ГОСТ Р ИСО/HL 7 27932-2015, страница 427 страница 427
  • ГОСТ Р ИСО/HL 7 27932-2015, страница 428 страница 428
  • ГОСТ Р ИСО/HL 7 27932-2015, страница 429 страница 429
  • ГОСТ Р ИСО/HL 7 27932-2015, страница 430 страница 430
  • ГОСТ Р ИСО/HL 7 27932-2015, страница 431 страница 431
  • ГОСТ Р ИСО/HL 7 27932-2015, страница 432 страница 432
  • ГОСТ Р ИСО/HL 7 27932-2015, страница 433 страница 433
  • ГОСТ Р ИСО/HL 7 27932-2015, страница 434 страница 434
  • ГОСТ Р ИСО/HL 7 27932-2015, страница 435 страница 435
  • ГОСТ Р ИСО/HL 7 27932-2015, страница 436 страница 436
  • ГОСТ Р ИСО/HL 7 27932-2015, страница 437 страница 437
  • ГОСТ Р ИСО/HL 7 27932-2015, страница 438 страница 438
  • ГОСТ Р ИСО/HL 7 27932-2015, страница 439 страница 439
  • ГОСТ Р ИСО/HL 7 27932-2015, страница 440 страница 440
  • ГОСТ Р ИСО/HL 7 27932-2015, страница 441 страница 441
  • ГОСТ Р ИСО/HL 7 27932-2015, страница 442 страница 442
  • ГОСТ Р ИСО/HL 7 27932-2015, страница 443 страница 443
  • ГОСТ Р ИСО/HL 7 27932-2015, страница 444 страница 444
  • ГОСТ Р ИСО/HL 7 27932-2015, страница 445 страница 445
  • ГОСТ Р ИСО/HL 7 27932-2015, страница 446 страница 446
  • ГОСТ Р ИСО/HL 7 27932-2015, страница 447 страница 447
  • ГОСТ Р ИСО/HL 7 27932-2015, страница 448 страница 448
  • ГОСТ Р ИСО/HL 7 27932-2015, страница 449 страница 449
  • ГОСТ Р ИСО/HL 7 27932-2015, страница 450 страница 450
  • ГОСТ Р ИСО/HL 7 27932-2015, страница 451 страница 451
  • ГОСТ Р ИСО/HL 7 27932-2015, страница 452 страница 452
  • ГОСТ Р ИСО/HL 7 27932-2015, страница 453 страница 453
  • ГОСТ Р ИСО/HL 7 27932-2015, страница 454 страница 454
  • ГОСТ Р ИСО/HL 7 27932-2015, страница 455 страница 455
  • ГОСТ Р ИСО/HL 7 27932-2015, страница 456 страница 456
  • ГОСТ Р ИСО/HL 7 27932-2015, страница 457 страница 457
  • ГОСТ Р ИСО/HL 7 27932-2015, страница 458 страница 458
  • ГОСТ Р ИСО/HL 7 27932-2015, страница 459 страница 459
  • ГОСТ Р ИСО/HL 7 27932-2015, страница 460 страница 460
  • ГОСТ Р ИСО/HL 7 27932-2015, страница 461 страница 461
  • ГОСТ Р ИСО/HL 7 27932-2015, страница 462 страница 462
  • ГОСТ Р ИСО/HL 7 27932-2015, страница 463 страница 463
  • ГОСТ Р ИСО/HL 7 27932-2015, страница 464 страница 464
  • ГОСТ Р ИСО/HL 7 27932-2015, страница 465 страница 465
  • ГОСТ Р ИСО/HL 7 27932-2015, страница 466 страница 466
  • ГОСТ Р ИСО/HL 7 27932-2015, страница 467 страница 467
  • ГОСТ Р ИСО/HL 7 27932-2015, страница 468 страница 468
  • ГОСТ Р ИСО/HL 7 27932-2015, страница 469 страница 469
  • ГОСТ Р ИСО/HL 7 27932-2015, страница 470 страница 470
  • ГОСТ Р ИСО/HL 7 27932-2015, страница 471 страница 471
  • ГОСТ Р ИСО/HL 7 27932-2015, страница 472 страница 472
  • ГОСТ Р ИСО/HL 7 27932-2015, страница 473 страница 473
  • ГОСТ Р ИСО/HL 7 27932-2015, страница 474 страница 474
  • ГОСТ Р ИСО/HL 7 27932-2015, страница 475 страница 475
  • ГОСТ Р ИСО/HL 7 27932-2015, страница 476 страница 476
  • ГОСТ Р ИСО/HL 7 27932-2015, страница 477 страница 477
  • ГОСТ Р ИСО/HL 7 27932-2015, страница 478 страница 478
  • ГОСТ Р ИСО/HL 7 27932-2015, страница 479 страница 479
  • ГОСТ Р ИСО/HL 7 27932-2015, страница 480 страница 480
  • ГОСТ Р ИСО/HL 7 27932-2015, страница 481 страница 481
  • ГОСТ Р ИСО/HL 7 27932-2015, страница 482 страница 482
  • ГОСТ Р ИСО/HL 7 27932-2015, страница 483 страница 483
  • ГОСТ Р ИСО/HL 7 27932-2015, страница 484 страница 484
  • ГОСТ Р ИСО/HL 7 27932-2015, страница 485 страница 485
  • ГОСТ Р ИСО/HL 7 27932-2015, страница 486 страница 486
  • ГОСТ Р ИСО/HL 7 27932-2015, страница 487 страница 487
  • ГОСТ Р ИСО/HL 7 27932-2015, страница 488 страница 488
  • ГОСТ Р ИСО/HL 7 27932-2015, страница 489 страница 489
  • ГОСТ Р ИСО/HL 7 27932-2015, страница 490 страница 490
  • ГОСТ Р ИСО/HL 7 27932-2015, страница 491 страница 491
  • ГОСТ Р ИСО/HL 7 27932-2015, страница 492 страница 492
  • ГОСТ Р ИСО/HL 7 27932-2015, страница 493 страница 493
  • ГОСТ Р ИСО/HL 7 27932-2015, страница 494 страница 494
  • ГОСТ Р ИСО/HL 7 27932-2015, страница 495 страница 495
  • ГОСТ Р ИСО/HL 7 27932-2015, страница 496 страница 496
  • ГОСТ Р ИСО/HL 7 27932-2015, страница 497 страница 497
  • ГОСТ Р ИСО/HL 7 27932-2015, страница 498 страница 498
  • ГОСТ Р ИСО/HL 7 27932-2015, страница 499 страница 499
  • ГОСТ Р ИСО/HL 7 27932-2015, страница 500 страница 500
  • ГОСТ Р ИСО/HL 7 27932-2015, страница 501 страница 501
  • ГОСТ Р ИСО/HL 7 27932-2015, страница 502 страница 502
  • ГОСТ Р ИСО/HL 7 27932-2015, страница 503 страница 503
  • ГОСТ Р ИСО/HL 7 27932-2015, страница 504 страница 504
  • ГОСТ Р ИСО/HL 7 27932-2015, страница 505 страница 505
  • ГОСТ Р ИСО/HL 7 27932-2015, страница 506 страница 506
  • ГОСТ Р ИСО/HL 7 27932-2015, страница 507 страница 507
  • ГОСТ Р ИСО/HL 7 27932-2015, страница 508 страница 508
  • ГОСТ Р ИСО/HL 7 27932-2015, страница 509 страница 509
  • ГОСТ Р ИСО/HL 7 27932-2015, страница 510 страница 510
  • ГОСТ Р ИСО/HL 7 27932-2015, страница 511 страница 511
  • ГОСТ Р ИСО/HL 7 27932-2015, страница 512 страница 512
  • ГОСТ Р ИСО/HL 7 27932-2015, страница 513 страница 513
  • ГОСТ Р ИСО/HL 7 27932-2015, страница 514 страница 514
  • ГОСТ Р ИСО/HL 7 27932-2015, страница 515 страница 515
  • ГОСТ Р ИСО/HL 7 27932-2015, страница 516 страница 516
  • ГОСТ Р ИСО/HL 7 27932-2015, страница 517 страница 517
  • ГОСТ Р ИСО/HL 7 27932-2015, страница 518 страница 518
  • ГОСТ Р ИСО/HL 7 27932-2015, страница 519 страница 519
  • ГОСТ Р ИСО/HL 7 27932-2015, страница 520 страница 520
  • ГОСТ Р ИСО/HL 7 27932-2015, страница 521 страница 521
  • ГОСТ Р ИСО/HL 7 27932-2015, страница 522 страница 522
  • ГОСТ Р ИСО/HL 7 27932-2015, страница 523 страница 523
  • ГОСТ Р ИСО/HL 7 27932-2015, страница 524 страница 524
  • ГОСТ Р ИСО/HL 7 27932-2015, страница 525 страница 525
  • ГОСТ Р ИСО/HL 7 27932-2015, страница 526 страница 526
  • ГОСТ Р ИСО/HL 7 27932-2015, страница 527 страница 527
  • ГОСТ Р ИСО/HL 7 27932-2015, страница 528 страница 528
  • ГОСТ Р ИСО/HL 7 27932-2015, страница 529 страница 529
  • ГОСТ Р ИСО/HL 7 27932-2015, страница 530 страница 530
  • ГОСТ Р ИСО/HL 7 27932-2015, страница 531 страница 531
  • ГОСТ Р ИСО/HL 7 27932-2015, страница 532 страница 532
  • ГОСТ Р ИСО/HL 7 27932-2015, страница 533 страница 533
  • ГОСТ Р ИСО/HL 7 27932-2015, страница 534 страница 534
  • ГОСТ Р ИСО/HL 7 27932-2015, страница 535 страница 535
  • ГОСТ Р ИСО/HL 7 27932-2015, страница 536 страница 536
  • ГОСТ Р ИСО/HL 7 27932-2015, страница 537 страница 537
  • ГОСТ Р ИСО/HL 7 27932-2015, страница 538 страница 538
  • ГОСТ Р ИСО/HL 7 27932-2015, страница 539 страница 539
  • ГОСТ Р ИСО/HL 7 27932-2015, страница 540 страница 540
  • ГОСТ Р ИСО/HL 7 27932-2015, страница 541 страница 541
  • ГОСТ Р ИСО/HL 7 27932-2015, страница 542 страница 542
  • ГОСТ Р ИСО/HL 7 27932-2015, страница 543 страница 543
  • ГОСТ Р ИСО/HL 7 27932-2015, страница 544 страница 544
  • ГОСТ Р ИСО/HL 7 27932-2015, страница 545 страница 545
  • ГОСТ Р ИСО/HL 7 27932-2015, страница 546 страница 546
  • ГОСТ Р ИСО/HL 7 27932-2015, страница 547 страница 547
  • ГОСТ Р ИСО/HL 7 27932-2015, страница 548 страница 548
  • ГОСТ Р ИСО/HL 7 27932-2015, страница 549 страница 549
  • ГОСТ Р ИСО/HL 7 27932-2015, страница 550 страница 550
  • ГОСТ Р ИСО/HL 7 27932-2015, страница 551 страница 551
  • ГОСТ Р ИСО/HL 7 27932-2015, страница 552 страница 552
  • ГОСТ Р ИСО/HL 7 27932-2015, страница 553 страница 553
  • ГОСТ Р ИСО/HL 7 27932-2015, страница 554 страница 554
  • ГОСТ Р ИСО/HL 7 27932-2015, страница 555 страница 555
  • ГОСТ Р ИСО/HL 7 27932-2015, страница 556 страница 556
  • ГОСТ Р ИСО/HL 7 27932-2015, страница 557 страница 557
  • ГОСТ Р ИСО/HL 7 27932-2015, страница 558 страница 558
  • ГОСТ Р ИСО/HL 7 27932-2015, страница 559 страница 559
  • ГОСТ Р ИСО/HL 7 27932-2015, страница 560 страница 560
  • ГОСТ Р ИСО/HL 7 27932-2015, страница 561 страница 561
  • ГОСТ Р ИСО/HL 7 27932-2015, страница 562 страница 562
  • ГОСТ Р ИСО/HL 7 27932-2015, страница 563 страница 563
  • ГОСТ Р ИСО/HL 7 27932-2015, страница 564 страница 564
  • ГОСТ Р ИСО/HL 7 27932-2015, страница 565 страница 565
  • ГОСТ Р ИСО/HL 7 27932-2015, страница 566 страница 566
  • ГОСТ Р ИСО/HL 7 27932-2015, страница 567 страница 567
  • ГОСТ Р ИСО/HL 7 27932-2015, страница 568 страница 568
  • ГОСТ Р ИСО/HL 7 27932-2015, страница 569 страница 569
  • ГОСТ Р ИСО/HL 7 27932-2015, страница 570 страница 570
  • ГОСТ Р ИСО/HL 7 27932-2015, страница 571 страница 571
  • ГОСТ Р ИСО/HL 7 27932-2015, страница 572 страница 572
  • ГОСТ Р ИСО/HL 7 27932-2015, страница 573 страница 573
  • ГОСТ Р ИСО/HL 7 27932-2015, страница 574 страница 574
  • ГОСТ Р ИСО/HL 7 27932-2015, страница 575 страница 575
  • ГОСТ Р ИСО/HL 7 27932-2015, страница 576 страница 576
  • ГОСТ Р ИСО/HL 7 27932-2015, страница 577 страница 577
  • ГОСТ Р ИСО/HL 7 27932-2015, страница 578 страница 578
  • ГОСТ Р ИСО/HL 7 27932-2015, страница 579 страница 579
  • ГОСТ Р ИСО/HL 7 27932-2015, страница 580 страница 580
  • ГОСТ Р ИСО/HL 7 27932-2015, страница 581 страница 581
  • ГОСТ Р ИСО/HL 7 27932-2015, страница 582 страница 582